Análise de variância como suporte para a Filosofia Lean na fabricação de gesso
DOI:
https://doi.org/10.12662/2359-618xregea.v14i1.p104-119.2025Palavras-chave:
ANOVA, Heijunka, Lean, gesso, AraripeResumo
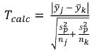
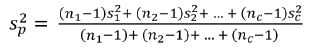
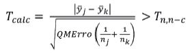
Considerando as diversas abordagens que são propostas e dispostas para aplicação nas indústrias dos mais variados setores, pode-se citar a estatística como uma das mais consolidadas. Trata-se de uma área que pode contribuir com uma gama de testes e tratamento de dados. Por outro lado, a Filosofia Lean possui um leque de ferramentas que viabilizam a redução de desperdícios. Nesse sentido, o presente artigo objetivou utilizar informações estatísticas para projetar o nível de produção de sacos de gesso, em uma calcinadora pernambucana. Nesse contexto, a avaliação estatística somada à abordagem proposta pelo Lean Manufacturing justifica-se diante da necessidade de proposição de melhorias no processo produtivo do gesso. Trata-se de um enfoque metodológico híbrido, que une duas vertentes a favor do caso analisado. A maior parte das empresas da região carece de estudos e métodos que proporcionem ganhos efetivos em qualidade e produtividade dos processos internos. Quanto aos objetivos, esta pesquisa pode ser enquadrada como exploratória e, em relação aos procedimentos técnicos, a pesquisa classifica-se como sendo um estudo de campo, pois busca aprofundar o debate acerca da realidade específica do Arranjo Produtivo Local (APL) do Gesso, em Pernambuco. A pesquisa foi desenvolvida em duas fases: inicialmente,as análises estatísticas foram executadas e, posteriormente, os dados da produção obtidos foram submetidos ao processo de nivelamento, com o método Heijunka. Definiu-se o nível de produção local em 10.000 sacos para cada linha de produção. Com isso, haverá uma quantidade de 500 sacos produzidos acima da demanda, que serão tratados como estoque de segurança. Pode-se evidenciar a associação possível de informações estatísticas como entrada para ferramentas da manufatura enxuta.
Downloads
Publicado
Como Citar
Edição
Seção
Licença
Copyright (c) 2025 Revista Gestão em Análise

Este trabalho está licenciado sob uma licença Creative Commons Attribution-NonCommercial-ShareAlike 4.0 International License.
TERMO DE CESSÃO DE DIREITOS AUTORAIS
Pelo presente instrumento particular, de um lado, o CENTRO UNIVERSITÁRIO CHRISTUS – UNICHRISTUS, doravante denominado somente UNICHRISTUS, e, de outro,
1) Nome_____________________________ , RG._____________________________ ,
2) Nome_____________________________ , RG._____________________________ ,
3) Nome_____________________________ , RG._____________________________ ,
4) Nome_____________________________ , RG._____________________________ ,
5) Nome_____________________________ , RG._____________________________,
doravante denominado(s) somente AUTOR da OBRA caracterizada como artigo acadêmico, intitulado , têm entre si justo e acertado, na melhor forma de direito, o que se segue:
CLÁUSULA PRIMEIRA – DA CESSÃO
O AUTOR, seus herdeiros e sucessores, nos termos do art. 49 e os seguintes da Lei 9.610/98, cedem a OBRA para reprodução, divulgação, distribuição, impressão, publicação e disponibilização, por parte do UNICHRISTUS, em qualquer forma ou meio que exista ou venha a existir.
Parágrafo Primeiro. A cessão, objeto deste Termo, é feita a título não exclusivo e gratuito, abrangendo a totalidade da OBRA.
Parágrafo Segundo. O UNICHRISTUS poderá disponibilizar, para fins didáticos, a OBRA no todo ou em partes, vedada a alteração de seu conteúdo textual, ressalvadas correções e formatações que se fizerem necessárias.
Parágrafo Terceiro. A cessão é válida em quaisquer países, em língua portuguesa ou tradução, a critério do UNICHRISTUS.
Parágrafo Quarto. Os originais serão entregues na forma que o UNICHRISTUS indicar.
CLÁUSULA SEGUNDA – DAS RESPONSABILIDADES
O AUTOR declara que a OBRA é de sua autoria e inédita, sendo desde já responsável pelo seu conteúdo e forma, citações, referências e demais elementos que a compõem, sendo entregue no ato da assinatura do presente com todo seu conteúdo textual já revisado gramatical e metodologicamente. Desta forma, quaisquer medidas judiciais ou extrajudiciais concernentes ao conteúdo serão de sua inteira responsabilidade.
Parágrafo Primeiro. O AUTOR declara não existir nenhuma proibição tácita, vinculada à divulgação da OBRA, estando livre de quaisquer ônus ou impedimentos perante o ordenamento jurídico brasileiro.
Parágrafo Segundo. O encargo da evicção é do AUTOR, ao qual caberá, inclusive, o dever de indenizar o UNICHRISTUS, caso este seja prejudicado por medidas judiciais ou extrajudiciais relacionadas ao conteúdo.
Parágrafo Terceiro. Em caso de pluralidade de autores, considera-se solidária a responsabilidade, ressalvadas as provas em contrário.
CLÁUSULA TERCEIRA – DA REPRESENTAÇÃO JUDICIAL
O AUTOR desde já constitui o UNICHRISTUS seu bastante procurador, autorizando-o a agir judicial ou extrajudicialmente contra qualquer atentado à OBRA, seja por reprodução ilegal, edição fraudulenta ou outra forma que represente lesão à propriedade intelectual.
CLÁUSULA QUARTA – DO FORO
As partes elegem o foro da comarca de Fortaleza, Estado do Ceará e renunciam a qualquer outro, por mais privilegiado que seja.
E por estarem assim justos e acertados, firmam o presente em duas vias de igual teor para que surta seus jurídicos efeitos.
Fortaleza, Ceará, ______________de_________________________ de 20______ .
1) ____________________________________________________
2) ____________________________________________________
3) ____________________________________________________
4) ____________________________________________________
5) ____________________________________________________
Pelo Centro Universitário Christus – UNICHRISTUS:
______________________________________________________